Trang chủ
Giới thiệu
Tuyển sinh
Văn bản - Biểu mẫu
Liên hệ
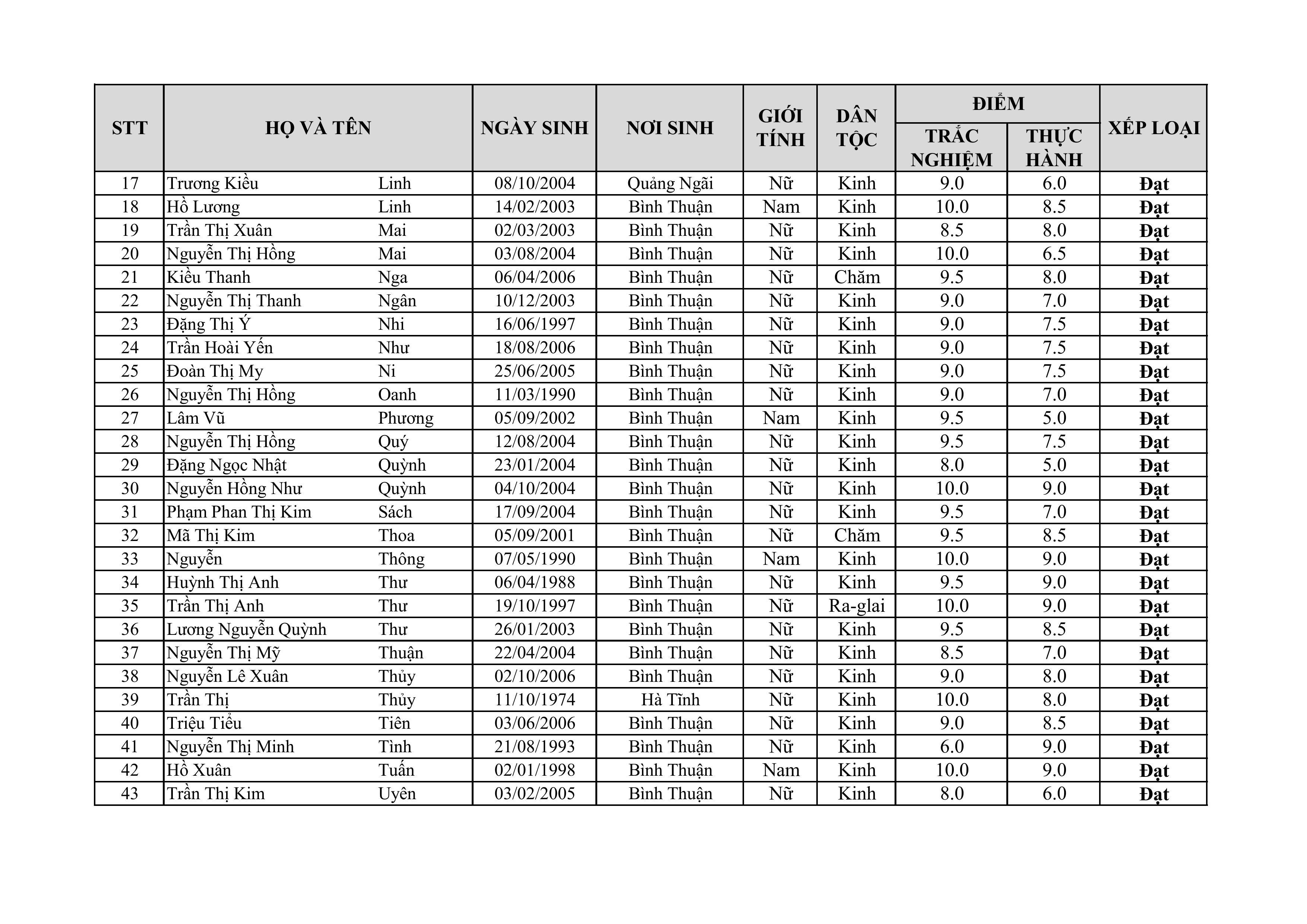
THÔNG BÁO KẾT QUẢ THI CHỨNG CHỈ CNTT KHÓA NGÀY 13.04.2025
23/04/2525
Related Articles
Thông báo về việc phối hợp tuyển sinh đại học VB2 (dành cho đối tượng đã có bằng đại học khác) Chương trình đào tạo từ xa liên kết với Trường Đại học Cửu Long
16/12/2424
Thông báo về việc phối hợp tuyển sinh đại học theo hình thức từ xa năm 2024 với Trường Đại học Cửu Long
16/12/2424
THÔNG BÁO KẾT QUẢ THI CHỨNG CHỈ CNTT KHÓA NGÀY 01.12.2024
11/12/2424
THÔNG BÁO KẾT QUẢ THI CHỨNG CHỈ CNTT KHÓA NGÀY 13.10.2024
17/10/2424
THÔNG BÁO KẾT QUẢ THI CHỨNG CHỈ CNTT KHÓA NGÀY 06.10.2024
14/10/2424
THÔNG BÁO KẾT QUẢ THI CHỨNG CHỈ CNTT KHÓA NGÀY 29.9.2024
10/10/2424
THÔNG BÁO VỀ VIỆC PHỐI HỢP TUYỂN SINH ĐẠI HỌC (BẰNG ĐẠI HỌC THỨ 2) THEO HÌNH THỨC TỪ XA NĂM 2024
04/10/2424
THÔNG BÁO KẾT QUẢ THI CHỨNG CHỈ CNTT KHÓA NGÀY 08.9.2024
27/09/2424
THÔNG BÁO KẾT QUẢ THI CHỨNG CHỈ CNTT KHÓA NGÀY 04.8.2024
13/08/2424
THƯ MỜI THAM GIA GIẢNG DẠY
08/08/2424
THÔNG BÁO KẾT QUẢ THI CHỨNG CHỈ CNTT KHÓA NGÀY 07.07.2024
02/08/2424
THÔNG BÁO KẾT QUẢ THI CHỨNG CHỈ CNTT KHÓA NGÀY 06.02.2024
02/08/2424
THÔNG BÁO KẾT QUẢ THI CHỨNG CHỈ CNTT KHÓA NGÀY 14.04.2024
23/04/2424
THÔNG BÁO KẾT QUẢ THI CHỨNG CHỈ CNTT KHÓA NGÀY 07.04.2024
23/04/2424
THÔNG BÁO TUYỂN SINH LỚP TIN HỌC VĂN PHÒNG KHÓA 1.2024
14/03/2424
THÔNG BÁO TUYỂN SINH KHÓA 3 LỚP ÔN THI CC CNTT CƠ BẢN
13/03/2424
THÔNG BÁO TUYỂN SINH LỚP ÔN THI CC ỨNG DỤNG CNTT CƠ BẢN T3.2024
05/03/2424
THÔNG BÁO KHAI GIẢNG CÁC LỚP HỌC THÁNG 03/2024
27/02/2424
THÔNG BÁO KẾT QUẢ THI CHỨNG CHỈ CNTT KHÓA NGÀY 28.01.2024
22/02/2424
KẾT QUẢ THI CHỨNG CHỈ CNTT CƠ BẢN KHÓA NGÀY 28/05/2023
07/06/2323
TRUNG TÂM NGOẠI NGỮ - TIN HỌC
TRƯỜNG CAO ĐẲNG BÌNH THUẬN
Cơ sở: 274 Nguyễn Hội, Phường Hàm Thắng, Tỉnh Lâm Đồng.
Cơ sở: 38 Nguyễn Hội, Phường Phan Thiết, Tỉnh Lâm Đồng.
Điện thoại: 02523.835.987- 02523.834.749
Zalo: 0967284863
E-mail: ttngoaingutinhoc.cdbt@gmail.com
Website: https://ttnnth.tcdbt.edu.vn
Zalo
Fanpage
Search
Sign In
Trang chủ
Giới thiệu
Tuyển sinh
Văn bản - Biểu mẫu
Liên hệ